AAPPS bulletin

Research and Review

Utilization of shock wave for triggering avalanche chain reactions via mixing ICF and MCF

writerSeyede Nasrin Hosseinimotlagh & Abuzar Shakeri

Vol.35 (Dec) 2025 | Article no.33 2025

Abstract

A proton beam is produced at a velocity of the order of 109cm/s to interact with an uncharged hydrogen-boron medium such as H3B. The generated charged particles are confined by electromagnetic fields. This is the basic concept of the new non-thermal fusion reactor. An external electric field is applied to prevent the energy loss of the proton particles by friction, due to their interaction with the electrons of the medium, to keep the proton-boron fusion at a maximum cross-section. Alphas produced by pB11 fusion undergo nuclear elastic collisions with surrounding protons, triggering a pB11 CR. The aim of this paper is to estimate the key parameters related to the performance of a new fusion reactor with neutron-free fusion fuel pB11 considering the production of alpha particle avalanches by presenting only the main physical processes and not a complete engineering design. To achieve this goal, a conceptual fusion reactor is proposed in this work using laser-plasma interactions and magnetic confinement configurations. The final result of our work considering this new reactor shows that it is possible to achieve fusion energy gain about 115, which is much higher than other cases examined.

1 Introduction

Energy source of Sun and stars is nuclear fusion reactions. In the Sun, 4 protons combine and then an alpha particle is created. The confinement of hot solar plasma is carried out by the gravitational force resulting from the Sun's large mass. In Earth laboratories, the first reaction candidate for producing thermonuclear energy was DT reaction, which produced one neutron and an alpha with a released energy Q = 17.6 MeV. The main reason for choosing DT is that the cross section of this reaction is the largest compared to other existing reactions. But one of the major problems with the DT fuel is that it generates unwanted neutrons that can activate radioactive elements, and the availability of tritium in nature is very low, necessitating its artificial production.

One of the cleanest nuclear fusion reactions that avoids the problem of producing unwanted neutrons is the use of the neutron-free p11B fusion reaction, which ultimately produces three alpha particles. Using lasers, initially the number of 1000 reaction of p11B was measured just above the sensitivity level. Studies show that using high-energy proton beams produced by picosecond laser pulses and impinging them on an environment containing 11B can drive more than a million p11B reactions.

At the PALS facility in Prague, a few-hundred-Joule laser with a nanosecond pulse time interacts with fuel pellets including high concentrations of 11B doped with crystals of Si, producing a million α particles. Also, at the ELI facility, about 1011 α particles are produced per each shot of laser. Two distinct warm fusion mechanisms such as MCF and ICF have been explored over the past 60 years.MCF uses high-intensity magnetic fields (several Teslas) and low-density plasma (1014 cm3) to achieve temperatures of approximately 10 keV to drive fusion reactions. Whereas ICF is based on the fast heating and compression of target to very high densities [1] and temperatures, e.g. more than 5 keV for DT reactions.

To ignite target with low energy, it was suggested [1,2,3] to use propellants that separate the compression and combustion of the fuel. At the first the target is compressed, after that propellant ignites a low portion of the target while the α particles created heat the rest of fuel. This mechanism is known as FI (fast ignition). Since FI suffers from the problem that the laser pulse does not directly reach the compressed fuel [4], new designs have been proposed to utilize proton-boron fusion [5, 6].The new scheme described can be used for compounds of proton-boron fusion [7] helium 3-deuterium (D3He), deuterium-lithium 6 (D6Li), and proton-lithium 6 (p6Li), proton-lithium 7 (p7Li) should be used. Among these reactions, in this paper, we propose that clean p11B fusion (without neutrons) produces 3 alpha particles:

p+11B34He+9.9MeV
(1)

This fusion novel method is presented in Fig. 1.

Fig. 1
figure 1

Schematic model of fusion reactor. Two ultra-intensities injected lasers, in the B-field mirror, initiate p11B nuclear fusion in the container. The generated α particles heat the fuel, which moves inside a cooler that recirculates the fluid of plasma with a density 1 mg/cm3. Th deposited energy is carried out by the cooler, while the generated α particles are confined by external B-field


2 Magneto-Inertial Fusion (MIF)

As the name “magneto-inertial” suggests, MIF approaches operate in the parameter space between the low-density MCF and high-density ICF conceptual spaces, and duly do incorporate aspects of both [16]. In MIF reactors, a target, typically – but not always in the form of a self-contained plasma is created and injected into the center of the MIF reactor chamber. This target is then compressed and heated by a liner, which itself is propelled by a driver, to conditions of high enough density and temperature for fusion to occur. Accordingly, MIF reactors referred to somewhat interchangeably as “magnetized-target fusion” (MTF) reactors8, because most involve the creation of a plasma that acts as a target that is struck. MIF reactors are – like ICF reactors – pulsed systems, and the process of creating and injecting, and then compressing and heating a plasma is recurring.

Arguments that MIF can avoid the problems associated with MCF and ICF while exploiting the benefits of each are mainly predicated upon the potential to simplify driver technology compared with ICF lasers, to avoid the need for the plasma to be as hot or stable for as long as in an MCF reactor, and to avoid the design complexity of both [20]. Furthermore, a MIF plasma does not need to be as hot or as stable for as long as an MCF plasma, as it is heated and compressed by the liner. At the same time, the magnetic field in a MIF plasma can substantially reduce the flow of heat out of the fusion plasma compared with an ICF plasma. Therefore, a MIF reactor does not require compression as intense or as precise in an ICF reactor [16, 21]. It is for these reasons that proponents of MIF – mostly privately funded companies – are pursuing MIF reactor configurations. Furthermore, despite progress in recent years, many in the fusion community deem MIF concepts to still be in their infancy compared to MCF and ICF.

The approach by General Fusion and in the PLX, for example, have not been extensively researched or tested to the extent of tokamaks. MIF reactors are less developed and certainly less well understood in terms of the understanding of physics than both MCF and ICF. As such, fundamental physics understanding, akin to that provided by early tokamaks and stellarators, must be demonstrated before any MIF concept can be deemed viable scientifically, let alone for commercial fusion. Nonetheless, proponents of MIF hope that the perceived benefits can be demonstrated and that their concepts can leapfrog the currently slow progress in MCF as the frontrunner towards commercial fusion energy within the next decade [2].

2.1 Concept-specific engineering challenges for MCF, ICF and MIF

Even though the three conceptual spaces of MCF, ICF and MIF are different – including, most certainly, from a physics perspective – the engineering challenges associated with developing technologies and systems necessary to realize a working reactor can be grouped into three broad categories – all of which are, to an extent, linked:

  • Plasma production and control

  • Fueling and exhaust systems

  • Diagnostics

This section attempts to provide a fresh perspective of these engineering challenges by taking a “concept agnostic” view. A description of the challenges associated with each of the three categories within each conceptual space is provided, and reference to specific MCF, ICF and MIF reactor designs is made to underline differences across concepts. Note that the challenges within these three categories – which together make up the key systems in an experimental fusion reactor that is capable of demonstrating fusion gain – are the primary focus of all fusion developers and can thus be considered as central to success. Indeed, in the case of private companies, in particular, there is significant secrecy in disclosing the full details of solutions to these challenges. Furthermore, whilst there is little potential for cross-cutting development across the conceptual spaces, where overlaps do exist, they are detailed. Indeed, there are specific technology challenges that are shared not only within a conceptual space but also across the conceptual spaces.

For MIF reactors, as in ICF reactors, it is the rate at which the fuel target or plasma can be injected that is critical, as they are pulsed systems. However, the frequency required for a MIF reactor is not as high as for ICF reactors. It is estimated that the target injectors, as well as the drivers for the liner systems, must fire one shot every 5 to 10 s – although this is dependent on the specific reactor concept [20]. Some MIF concepts are potentially advantageous over both MCF and ICF as regards fueling. Contrariwise, a stable plasma with high energy confinement time is not required as in MCF, as it is compressed and heated very soon after injection. Although magnets, required to compress the plasma target in some MIF concepts, are a clear cross-cutting technology between MCF and MIF that could rightly be considered part of the fueling system, the issues for MCF reactors associated with steady-state operation, heating and current, plasma instability, and plasma impurity control (by exhausting), do not apply to MIF reactors. Again, these are some further reasons as to why many proponents believe that MIF reactors offer a potentially better route to fusion.

Whilst the fueling systems for MIF reactors combine some aspects of MCF and ICF, the exhaust systems for a MIF reactor are largely similar to an ICF reactor. The MIF reactor chamber must be evacuated between shots at a rate consistent with the fusion pulses, i.e. once every 5 to 10 s. Unlike ICF reactors, however, using plasma targets means that many MIF concepts will not produce debris. The belief is, therefore, that MIF reactors will avoid the instabilities associated with MCF in continuously fueling and exhausting a plasma, but will simultaneously avoid the solid target injection and debris removal associated with ICF reactor exhausts. Importantly, however, none of the proposed fueling or exhaust designs for MIF reactors has been experimentally verified. In contrast, the operational experience of MCF and ICF concepts has demonstrated at least fundamental technical viability.

3 Materials and methods

This reactor contains a background plasma with an order of density mg/cm3 corresponding to hydrogen and boron ions. A solid fuel or plasma channel is irradiated by an ultra-intense laser, which produces a shock wave (SW) including hydrogen ions with energy range of 300-1200 keV, which enters the background plasma. Alphas resulting from collide of boron with plasma protons and they accelerate and cause chain reactions (CRs). The number of α particles generated,Nα, which is written by the following equation:

Nα3Nα0(eτ/τA1)
(2)

where τA1n0<σv> such that <σv> which is known as fusion reactivity whose range of changes is 1016cm3/s to 1015cm3/s.Nα is the number of α particles produced in CR time per the number of initial α particlesNα0.τA, is the CR time [8, 9]. In the background plasma, the approximation value of n0 is1019cm3/s, and ،<σv>∼1015cm3/s, which corresponds to the timeτA104s. During the interaction time ofτ1ms, Initially, we obtain an enhancement factor of 104 for the produced alphas. In this work, CRs and the confinement mechanism in novel reactor are presented. To continue the CR, this fusion reactor includes an external E-field and a system of magnetic confinement mirror for a long pulse to obtain an enhanced fusion energy gain. In Fig. 2, we have drawn the diagram of Nα/Nα0 variations in terms of<σv>. As can be seen, the value of Nα/Nα0 grows exponentially with the increase of<σv>.

Fig. 2
figure 2

Variations of Nα/Nα0 a function of <σv>


4 The mechanism of SW triggering

In this device, two or even more SWs are generated via ultra-intense lasers. These SWs are semi-relativistic and travel at a SW speed of the order of 0.1c, where c is the velocity of light. The performance of these SWs has recently been reviewed in Ref. [9]. The SW generated by the laser is known as an accelerator that accelerates protons and borons in the SW domain with number densities np and nB in volume. Here, we study two possibilities for creating a laser-generated shock wave: one for a gaseous fuel and the other for a solid fuel. In p11B center of mass frame the maximum fusion reactivity is:<σv>∼1015cm3/s. There are two important points here: the first is that the laser is incident on a solid target consisting of boron and hydrogen in the inlet channel of Fig. 1, and the second is that the laser generates a SW in the plasma gas [10]. SWs physics is wonderfully written in the book “Physics of SWs and high temperature hydrodynamic phenomena” [10]. An ultra-intense laser interaction with a planar fuel generates a 1-D SW [11]. The theory of laser-induced SWs, which has been investigated experimentally so far, is based on ablation of plasma.

For lasers with range of intensities 1012W/cm2<IL<1016W/cm2 and nanosecond pulses, a hot plasma is generated. The hot plasma exerts a high pressure on the surrounding media, leading to the generation of a strong SW that travels inside the fuel. Here, quasi-relativistic SWs associated with the density of the solid or gas are of interest. The SWs induced by laser radiation in this region are studied via relativistic hydrodynamics [12]. Taub was the first to study relativistic SWs [13]. The SW equations of Fig. 1 are written as follows:

(i)upc=(P1P0)(e1e0)(e0+P1)(e1+P0)(ii)usc=(P1P0)(e1+P0)(e1e0)(e0+P1)(iii)(e1+P1)2ρ12(e0+P0)2ρ02=(P1P0)[(e0+P0)ρ02+(e1+P1)ρ12]
(3)

Accordingly, P, e, and ρ are the pressure, energy density, and mass density, respectively, indices 0 and 1 indicate the areas before and after the SW enters, us is SW speed, and up is the speed of particle current and c is light velocity. It is assumed that in the laboratory reference frame the fuel is initially at the rest. The state equation used to estimate the SW key parameters which is the same as the state equation of ideal gas:

ej=ρjc2+PjΓ1;j=0.10
(4)

here \Gamma is known as specific heat ratio. We must solve Eqs. (3) and (4) along with Piston’s equation as follows [14]:

P1=2LLc(1up/c1+up/c)
(5)

It is easy to apply the dimensionless variables of pressure and laser irradiance that come from solving the above equations:

ΠLILρ0c3;Π=P1ρ0c2Pρ0c2
(6)

In the area of transition between non-relativistic and relativistic SWs, related to the parameters of the SW, the following answers are obtained:

upc=Π(2+Π)(1+Π)(Γ+1+Π)2(ΠL)1/4(Γ+1)3/4usc=ΠΓ+1+Π)(1+Π)(Γ+2)2(ΠL)1/4(Γ+1)1/4Π=(2ΠL)(1up/c1+up/c)2ΠLΓ+1
(7)

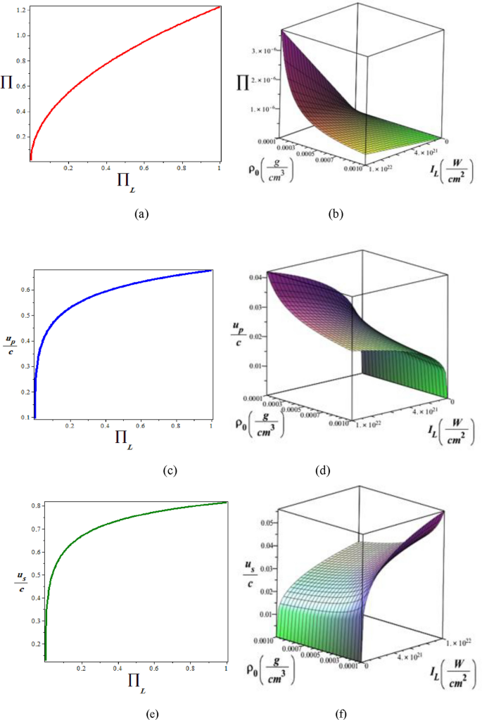
In Fig. 3, we plotted the two and three-dimensional variations of Π, upc and usc versus the parameters ΠL, ρ0 and IL (note that the two-dimensional diagrams for ρ0=103g/cm3 and the range 104ΠL1 are drawn). While the three-dimensional diagrams are drawn in the ranges of 104ρ0103 and 1012IL1022). As can be seen the two-dimensional diagrams drawn in these figures related to the quantities Π, upc and usc show a non-linear behavior with the increase of ΠL.

Fig. 3
figure 3

2 and 3D variations of (a) and (b)) Π, (c) and (d)) upc and (e) and (f)) usc versus parameters ΠL, ρ0 and IL (note that the two-dimensional diagrams are drown for ρ0=103g/cm3 and the range 104ΠL1, while the three-dimensional diagrams are drawn in the ranges 104 ρ0103)


Compression factor, k=ρρ0 depends on Π=p/ρ0c2 and Γ. To view the transition between non-relativistic and relativistic approximation, relativistic equations must be solved to investigate the effects of the transition. Numerical calculations show an increase in the dimensionless SW velocity usc and particle velocity upc in the laboratory frame in terms of the dimensionless laser irradiation parameter ΠL=IL/ρ0c3. In addition, the speed of sound per speed of light, cs/c, is given versus ΠL=IL/ρ0c3 and the diluted speed, crw, in the form of the following relationship:

csc=(Pe)s=(ΓPe+P)1/2=[Γ(Γ1)ΠΓΠ+(Γ1)k]1/2crw=cs+cp1+cscpc2
(8)

In Fig. 4, we have drawn the graphs of three-dimensional variations of csc and crw in terms of K and IL parameters using the above equations.

Fig. 4
figure 4

The three-dimensional variations of (a) csc and (b) crw in terms of K and IL parameters


The duration τrw in which the duration of the diluted wave reaching the front of shock, for the mode where the laser pulse duration in terms of τL, is given by:

τrw=crwτLcrwus
(9)

For a laser energy WL and irradiation IL and, we now calculate the duration of the laser pulse τL for the design under consideration to have a reasonable 1D SW IL versus the velocity of flow up and the environment density is ρ0, which means as follows:

IL(W/cm2)=2.2×1018(ρ0103g/cm3);S(cm2)=πRL2=4.5×107(103g/cm3ρ0)(WL1kJ)(1nsτL);RL(μm)=0.12[(103g/cm3ρ0)(WL1kJ)(1nsτL)]0.5;RL(μm)usτL(μm)=1.40×104(μm/ns)τL(ns)
(10)

To solve Eq. (10), we replace the symbol ≫ is replaced by 5, that is, the diameter of laser is larger than a factor of 10 compared to the wavelength of shock during the time of laser pulse, usτL, and we obtain:

τL(ns)=1.200×103(103g/cm3ρ0×WL1kJ)3
(11)

That is, for the design where IL=2.2×1018W/cm2, if the energy of laser is 1 kJ, we required a pulse of laser equal to 1.2 ps. We plotted, the IL variations in terms of ρ0 with considering Eq. (10) in Fig. 5. As can be seen from it, the value of IL increases linearly with the increase of ρ0.

Fig. 5
figure 5

variations of IL in terms of ρ0 in the range of 104ρ01


Also, using the relationships in Eq. (10), to estimate the numerical values of τL, S, and R parameters, three-dimensional variations of τL, S, and R in terms of ρ0 and WL have been drawn and shown in Fig. 6.

Fig. 6
figure 6

Three-dimensional variations of (a) τL,(b) S, and (c) R in terms of ρ0 and WL in the range of 104ρ01 and 1WL100


5 Confinement mechanism of CRs

To prevent protons and α particles from going away from the walls of the container, we apply a magnetic mirror enclosure. For a longitudinal B-field in the container, the transverse radius of the target container is 2 Rα, here Rα is the Larmor α radius, which is equal to:

Rα=γβMαc22eBβ=Vcβ=vcγ=11β2
(12)

Mα is the rest mass of the alpha particle which is about four times the mass of the proton and its kinetic energy is about 2.9 MeV, e is equal to 1.6×1019C, B is the longitudinal B-field, and V is the velocity perpendicular to the B-field. For β=0.00387 we have: γ1=0.000075 and for a B = 25 Tesla, Rα is approximately 1 cm. This volume is controlled by it Bmax and Bmin, therefore the mirror ratio Rm is given by:

Rm=BmaxBmin
(13)

The minimum value of the container Vv per Rm=1.5 is:Vv=πR2L=16πRα3; R=2Rα; L=4Rα. Therefore, the alphas mirror confinement requires aVv50cm3. It should be noted that the volume can be increased in a way that can maintain an appropriate fusion energy so that the container temperature does not exceed several eV [8]. In this design, we use a CR that is defined as an avalanche process. The mechanism of the CR through elastic collisions is described in the following:

(1) The 1st collision occurs between an α particle produced by the p11B fusion reaction (Eα energy) and a hydrogen ion in the desired container. (2) in the 2nd step, this alpha particle collides with another hydrogen ion in the container, such that (3) collides with a 11B inside the container to fuse and generation of 3 α particles. So, the α particle with Eα energy performs its 2nd collision with a hydrogen ion and this hydrogen ion collides with a 11B in the CM reference frame, the energy of CM,Ecm(p11B), gives the result:

Ecm(p11B)=(1112)(1625)(925)Eα0.21Eα
(14)

Energy generated by the fusion reaction of p11B is divided equally between the 3 α particles, so Ecm(p11B) becomes ~ 600 keV. New experimental data related to p11B have provided a σmax for an α particle with 6 MeV energy, and the rest energy (2.9 MeV) being statistically divided between the other 2α particles.

The alphas spectrum generated in p11B reaction does not vary the concept of the reactor. To estimate this spectrum effect on the number of α particles generated (Nα) in the during of CR per initial number of α particles ( Nα0) by the laser produced SW, having a numerical value of <σv> becomes necessary [15, 16]. Here we present how to maintain CR for a long time, which is greater than the pulse duration. This is achieved with an external B-field and an E-field for acceleration, which acts like a cyclotron for p andα. These electromagnetic fields delay the alpha particle avalanche production mechanism by overcoming the Beth Bloch energy dissipation in the external B-field. The stopping power of Bethe-Bloch,dT / dx, is written by:

dTAdx(erg/cm)=4πZA2ZBe4n0mec2β2[ln(2mec2β2γ2I)β2]β=uc;γ=11β2=1+TAMAc2
(15)

and in the non-relativistic state we have:TA=12MAc2β2. The projectile (for example, proton here) with charge ZAe and mass MA losses its energy through interaction with the surrounding electrons in the environment (for example, H3B). TA is the A projectile kinetic energy, βc is projectile velocity, index B indicates the environment. The environment density is n0, me is the electron mass, and I(10 eV) is a constant that describes the electrons dependency on the environment. In the following the stopping power is given [17]:

dTAdx(eV/cm)=1.65×107ZA2ZB(n01022cm3)(0.04β)2
(16)

The intensity of the E-field is proportional to dTA/dx)/(ZAe),which is equals toE=43kV/cm. In Fig. 7, we have drawn two and three-dimensional variations of dTAdx in terms of β and n0 according to Eq. (16). It should be noted that the two-dimensional graph is drawn forβ=0.035.

Fig. 7
figure 7

(a) Two and (b) three-dimensional variations of dTAdx in terms of β in the range of 0β 1 and 1018n01020 (note that the two-dimensional diagram is related to β=0.035)


A pulsed and oscillating field is preferred because higher peak values can be achieved here than a static field. In particular, one can use the oscillating electric field with respect to Bإ-field at the ωc written by the following equation:

ωc=ZAeBMAc(Gaussiancgsunits);MA=AMpωc(rad/s,proton)=9.58×108[B10[Tesla]]
(17)

Eac (Breakdown field) for the ac field is much larger than the dc mode and is roughly defined by the following relation [17, 18]:

Eacmeωcce43(kV/cm)(B25Tesla)
(18)

The steps in the avalanche of the p11B reaction are: In the first step (i) an alpha particle produced by the fusion of p11B collides with a proton (which is at rest in the laboratory frame of reference) and in the second step (ii) this alpha particle has a second collision with another proton in the environment (which is at rest). This energetic proton with energy Wp interacts with a 11B from the environment (which is at rest) (iii) and three new alpha particles are produced. So that: i)p+B11α1+α2+α3;(ii)α1+H(rest.lab)α1+p+e;(iii)p+11B(rest.lab)α1+α2+α3+11e. The density of the number of alpha particles produced nα in NF p11B is related to the number density of protonnp:

np=np0+δnp;δnp=nα/3
(19)

Numerical densities (cm−3) related to boron11 (nB), protons ( np) are [19]:

ε=nBnP;n0=nB+np=(ε+1)npnp=5.0×1019(ρ103g/cm3)forε=1/3nB=51.66×1019(ρ103g/cm3)forε=1/3
(20)

We prevent the deceleration of protons by an external electric field in the H3B environment given by Eq. 18. [20] So that the CR gives the density of the number of produced alpha particles nα:

dnαdt=nB<σv>(3np0+nα)nα=3np0[exp(nB<σv>t1)]3np0[exp(tτA)1]τA=1nB<σv>4.8×105(103g/cm3ρ)forε=1/3
(21)

The rate of proton production from CRs is described by the following equation:

dnpdt=nHnασelvαnpnBσfusvp
(22)


In the above equation np is the proton density created after an alpha collision and destroyed after fusion occurs, as described by (i) and (ii). σel and σfus are the elastic and fusion cross sections, respectively, and vα is the proton-alpha relative velocity before the elastic collision, while vp is the boron-proton relative velocity in the fusion reaction. In principle, Eq. (22) should include the recombination terms, however, it is expected that under ambient conditions the recombination rate will be very small [21, 22]. The total elastic cross section of the alpha proton, σel is given by: σel(α.p)π(e2μvα2)2 where μ=45mp (The reduced mass of the alpha-proton is) and vα is Alpha-proton relative velocity such that: σel1024cm2 [20]. We are interested in the fusion rate p11B, i.e., σfusvp, where σfus is the fusion cross-section, determined experimentally, and vp is the relative velocity of p11B.

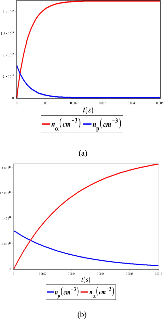
From observing Eqs. 21 and 22, it can be seen that the rate equations related to the density of proton and alpha particles are coupled nonlinear points. We have solved these equations according to the stated conditions and presented the results in Fig. 8 in two different time intervals: a) 0 to 5 ms and b) 0 to 1000 microseconds. As can be seen from this figure, in both selected time intervals, with a gradual increase in time, the proton density decreases and, conversely, the alpha particle density increases. This is because during the fusion reaction, the density of the consumed fuels decreases and the density of the products, which are the alpha particles, increases. And if the time interval increases from microseconds to milliseconds and after a certain time, these densities will reach the steady state characteristic. The density of the medium n0=nH+nB is assumed to include the hydrogen density nH=0.751019 and the density 11B, nB=0.251019.

Fig. 8
figure 8

time variations of proton particle density, np, and alpha particle density, ،nα, in the time interval a) 0 to 5 ms b) 0 to 1000 microseconds


6 Proposed reactor

In this section, a clean and clean proton-boron 11 fusion reactor is proposed [23,24,25]. The performance of this reactor is not similar to that of MCF and ICF reactors. In a thermonuclear fusion reactor, the speed of particles through the SW reaches 109 cm/s, so that the fusion reactivity reaches its maximum value. We choose the reaction: +11B34He+8.9 MeV.The suggested reactor includes a fusion plasma with a density of mg/cm3 related to hydrogen ions and11B. A channel of plasma or a solid fuel is irradiated by an ultra-intense laser, which produces a SW containing p-particles that enter the background plasma. The α particles caused by boron fusion collide with plasma protons and accelerate the CR. The new alphas created by the external B-fields are trapped in the mirror container.

We apply a fluid exiting our container depicted in Fig. 1. The proper fluid for 11B fusion reaction is a solution 11B2H6with a density of 1.3 × 103 g/cm3 [21]. This introduced fluid can be easily compressed and reached higher densities if necessary. To create a SW in the fusion plasma in Fig. 1, we apply two PW lasers with an intensity of 1018W/cm2. These lasers date back more than 30 years [18, 19]. The intensity of today's lasers has increased to a maximum of 1022W/cm2 at infrared wavelengths (1.6 eV). Petawatt lasers generate a semi-relativistic SW at streaming speeds. The accelerated fluid volume relate to Eqs. 10– 12 is given by:

V=S(τL+Δt)us5.3τLusLSV=2.5×106(103g/cm3ρ0)(WL1kJ)
(23)

In Fig. 9 we have drawn the three-dimensional variations of V in terms of ρ0 and WL in the range of 104ρ01 and 1WL100 using Eq. 23.

Fig. 9
figure 9

Three-dimensional variations of V in terms of ρ0 and و WL in the range of 104ρ01 and 1WL100


Using Eqs. 20, 21, 22 and 23, we get:

Np0=np0V=1.25×1014{WL1kJ}Nα=3Np0(eτ/τA1);τA4.8×105(103g/cm3ρ)tτA:Nα1.65×1014{WL1kJ}eτ/τA
(24)

In Figs. 10 and 11, we have drawn the graph of Np0 variations in terms of WL and the three-dimensional variations of Nα in terms of t in the range of 0.01t(ms)0.3 and 1WL100 using Eq. 24, respectively.

Fig. 10
figure 10

variations of Np0 in terms of WL


Fig. 11
figure 11

Three-dimensional variations of Nα in terms of t in the range of 0.01t(ms)0.3 and 1WL100


We know that, the released energy from 11B fusion reaction is Q = 8.9 MeV per reaction, which is divided between 3 produced alpha particles, and let's define the fusion energy gain G in terms of NαWα. For laser energy WL, Wα=8.9MeV/3 [22]. For reactor facilities, a 100 MW yield seems to be technologically and economically viable. Using Eq. 24, we can write:

G=NαWαWL=7.8×102exp(tτA)100exp(tτA)100t[s]7.15τA=3.0×104(103g/cm3ρ)
(25)

In Fig. 12, we have drawn the variations of G in terms of time in the time range 0.01t(ms)0.3 using Eq. 25. As can be seen, with the growth of time, G increased non-linearly and became it reaches more than 100.

Fig. 12
figure 12

The variations of G in terms of time in the time range 0.01t(ms)0.3


For each laser pulse, an external E-field with a duration of 0.3 ms is needed to obtain CR. For a 100 MW thermal fusion reactor, we need 100 laser pulses [23]. This can be done with 100 lasers at 1 Hz.


7 Conclusion

In this work, a conceptual fusion reactor was introduced by exploiting the interaction between laser and plasma and confining the fusion plasma by magnetic B-field. This reactor is made of a plasma with a density of mg.cm−3 containing hydrogen and boron ions. Because the temperature of this plasma is several electron volts, its radiation level is low. The mechanism of fusion starts through the channel of plasma or the solid fuel, which is irradiated by an ultra-intense laser and produces a semi-relativistic SW, which accelerates a p-beam to an energy 1200–300 keV such that the reactivity of p11B is sufficiently high to create 3α particles. The alphas from p11B collide with plasma hydrogen ions and their acceleration causes one CR, which was explained in "Containment and CRs". The thermonuclear reactor will have a maximum theoretical energy gain of 15 ~ 8900 / 600 (for the case where the alphas have the same energy). However, in the case we examined here, due to the CR mechanism, the maximum gain is (8900/600) * (CR coefficient). in which the CR coefficient is: exp[t/(n0<σv>)] and can reach a maximum magnitude of 115. In general, in order to have a higher fusion energy gain a combination of an external E-field and a mirror magnetic confinement device should be used to induce CRs using a long laser pulse.

Data availability

Not applicable.

References

  1. H. Abu-Shawareb et al., Phys. Rev. Lett. 132, 065102 (2024)

  2. A.L. Kritcher, A. Zylstra, C. Weber, O. Hurricane, D.A. Calla-han, D.S. Clark, L. Divol, D.E. Hinkel, K. Humbird, O. Jones et al., Phys. Rev. E 109, 025204 (2024)

  3. D.S. Clark, S.W. Haan, A.W. Cook, M.J. Edwards, B.A. Hammel, J.M. Koning, M.M. Marinak, Phys. Plasmas 18, 082701 (2011)

  4. O A Hurricane, D A Callahan, D T Casey, A RChristopherson, A L Kritcher, O L Landen, S A Maclaren,R Nora, P K Patel, J Ralph, D Schlossberg, P T Springer,C V Young, and A B Zylstra, Phys Rev Lett 132 065103 (2024)

  5. H. Abu-Shawareb et al., Phys. Rev. Lett. 129, 075001 (2022)

  6. J. Nuckolls, L. Wood, A. Thiessen, G. Zimmerman, Nature (London) 239, 139 (1972)

  7. J. Lindl, Phys. Plasmas 2, 3933 (1995)

  8. P. Michel, L. Divol, E.A. Williams, S. Weber, C.A. Thomas, D.A. Callahan, S.W. Haan, J.D. Salmonson, S. Dixit, D. EHinkel, M.J. Edwards, B.J. MacGowan, J.D. Lindl, S.H. Glenzer, L.J. Suter, Phys RevLett 102, 025004 (2009)

  9. B Bachmann, T Hilsabeck, J Field, N Masters, C Reed, TPardini, J R Rygg, N Alexander, L R Benedetti, T Döppner et al, Rev Sci Instrum 87 11E201 (2016)

  10. Ya B Zel'dovich, Yu P Raizer,” Physics of Shock Waves and High-Temperature Hydrodynamic Phenomena”, ACADEMIC PRESS New York and London (1967)

  11. A.L. Kritcher, A.B. Zylstra, D.A. Callahan, O.A. Hurricane, C. Weber, J. Ralph, D.T. Casey, A. Pak, K. Baker, B. Bachmann et al., Phys. Plasmas 28, 072706 (2021)

  12. O.A. Hurricane, D.A. Callahan, P.T. Springer, M.J. Edwards, P. Patel, K. Baker, D.T. Casey, L. Divol, T. Döppner, D.E. Hinkel et al., Plasma Phys. Control. Fusion 61, 014033 (2019)

  13. D. Casey, B. MacGowan, O. Hurricane, O. Landen, R. Nora, S. Haan, A. Kritcher, A. Zylstra, J. Ralph, E. Dewald et al., Phys. Rev. E 108, L053203 (2023)

  14. R Hatarik et al, J Appl Phys118 84502 (2015)

  15. R. Betti, K. Anderson, V.N. Goncharov, R.L. McCrory, D.D. Meyerhofer, S. Skupsky, R.P.J. Town, Phys. Plasmas 9, 2277 (2002)

  16. C.B. Yeamans, D.L. Bleuel, Fusion Sci. Technol. 72, 120 (2017)

  17. A.B. Zylstra, O.A. Hurricane, D.A. Callahan, A.L. Kritcher, J.E. Ralph, H.F. Robey, J.S. Ross, C.V. Young, K.L. Baker, D.T. Casey et al., Nature (London) 601, 542 (2022)

  18. A L Kritcher, C Young, H F Robey, C R Weber, A BZylstra, O A Hurricane, D A Callahan, J E Ralph, J S Ross,K L Baker et al, Nat Phys 18 251 (2022)

  19. A.L. Kritcher, A.B. Zylstra, D.A. Callahan, O.A. Hurricane, C.R. Weber, D.S. Clark, C.V. Young, J.E. Ralph, D.T. Casey, A. Pak et al., Phys. Rev. E 106, 025201 (2022)

  20. A.B. Zylstra, A.L. Kritcher, O.A. Hurricane, D.A. Callahan, J.E. Ralph, D.T. Casey, A. Pak, O.L. Landen, B. Bachmann, K.L. Baker et al., Phys. Rev. E 106, 025202 (2022)

  21. M.S. Rubery, M.D. Rosen, N. Aybar, O.L. Landen, L. Divol, C.V. Young, C. Weber, J. Hammer, J.D. Moody, A.S. Moore, A.L. Kritcher, A.B. Zylstra, O. Hurricane, A.E. Pak, SMacLaren. G Zimmerman, J Harte, and T Woods, Phys Rev Lett 132, 065104 (2024)

  22. O.A. Hurricane, D.T. Casey, O. Landen, A.L. Kritcher, R. Nora, P.K. Patel, J.A. Gaffney, K.D. Humbird, J.E. Field, M.K.G. Kruse et al., Phys. Plasmas 27, 062704 (2020)

  23. J.D. Lindl, S.W. Haan, O.L. Landen, A.R. Christopherson, R. Betti, Phys. Plasmas 25, 122704 (2018)

  24. P T Springer, O A Hurricane, J H Hammer, R Betti, D ACallahan, E M Campbell, D T Casey, C J Cerjan, D Cao,E Dewald et al, Nucl Fusion 59 032009 (2019)

  25. H G Rinderknecht, D T Casey, R Hatarik, R M Bionta, B J MacGowan, P Patel, O L Landen, E P Hartouni, and O AHurricane, Phys Rev Lett 124 145002 (2020)

Acknowledgements

Thanks to all the authors.

Funding

Not applicable.

Author information

Authors and Affiliations

Contributions

All authors have contributed equally.

Corresponding author

Correspondence to Seyede Nasrin Hosseinimotlagh.

Ethics declarations

Ethics and Consent to Participate

Not applicable.

Consent for Publication

Yes.

Competing interests

Not applicable.

Additional information

Publisher’s Note

Springer Nature remains neutral with regard to jurisdictional claims in published maps and institutional affiliations.

[Source: https://link.springer.com/article/10.1007/s43673-025-00173-7]