AAPPS bulletin

Research and Review

Quantum Lifshitz points in an altermagnetic superconductor

writerHui Hu & Xia-Ji Liu

Vol.35 (Dec) 2025 | Article no.35 2025

Abstract

We predict the existence of two tri-critical quantum Lifshitz points in recently discovered d-wave altermagnetic metals subjected to an external magnetic field. These points connect a spatially modulated Fulde–Ferrell–Larkin–Ovchinnikov (FFLO) phase, a uniform polarized Bardeen–Cooper–Schrieffer (BCS) superconducting phase, and the normal metallic phase in a nontrivial manner. Depending on whether the FFLO state is primarily induced by the magnetic field or by d-wave altermagnetism, we classify the corresponding Lifshitz points as field-driven or altermagnetism-driven, respectively. Notably, the two types exhibit distinct behaviors: the transition from the FFLO phase to the polarized BCS phase is first-order near the field-driven Lifshitz point, as might be expected, whereas it becomes continuous near the altermagnetism-driven Lifshitz point. We further explore the effects of finite temperature and find that the altermagnetism-driven Lifshitz point is significantly more sensitive to thermal fluctuations.

1 Introduction

Understanding phase transitions between different competing quantum orders lies at the heart of diverse fields [1, 2], including quantum many-body physics, condensed matter physics, and high-energy particle physics. In this regard, a special critical point known as the tri-critical Lifshitz point attracts specific attention over the last several decades, due to its unusual critical exponents [3,4,5,6,7]. The Lifshitz point arises when three phases meet together: two ordered phases (one uniform and another unevenly distributed in real space) coexisting with a disordered phase. Typically, Lifshitz points are classical and present at nonzero temperature (\(T>0\)), where the disordered to ordered transitions are often driven by thermal fluctuations [3]. The most known examples include helimagnetic materials such as MnP nanorod films [8], inhomogeneous polymers [9, 10], ferroelectric chiral smectic liquid crystals [11], spin-population imbalanced Fermi gases [12], and even hot dense quantum chromodynamics (QCD) matters [7, 13].

In principle, the Lifshitz point can also emerge at zero temperature (\(T=0\)) [14], where phase transitions are governed solely by quantum fluctuations [1]. Nonetheless, identifying such a quantum Lifshitz point in real materials has proven to be exceptionally challenging. To date, theoretical studies of quantum Lifshitz points have primarily focused on some idealized models or systems, such as the infinite-dimensional Hubbard model [15], the frustrated ferromagnetic Heisenberg chain [16], the two-dimensional (2D) effective theory with specifically engineered interaction potential [17], the spin-1/2 square-lattice J-Q model [18], the frustrated 2D XY model [19], and Fermi mixtures with both spin-imbalance and mass-imbalance [20].

In this work, we would like to propose that, the recently discovered altermagnetic metals may provide an ideal avenue to realize and observe the long-sought quantum Lifshitz point and to explore its unconventional critical exponents. Altermagnetism represents a distinct form of magnetic order, different from the well-known ferromagnetism and antiferromagnetism [21,22,23,24,25,26,27,28,29,30,31,32]. In altermagnetic metals, collinear spin arrangements result in zero net magnetization; however, due to specific crystal symmetries, significant spin splitting still appears in the electronic band structure. This unique spin-splitting behavior can have profound effects when inter-particle interactions are considered [33,34,35,36,37,38,39,40]. Of particular relevance to our study is the recent surprising discovery [41,42,43,44,45,46,47,48,49] of an altermagnetism-induced spatially inhomogeneous Fulde–Ferrell–Larkin–Ovchinnikov (FFLO) phase [50, 51] under attractive interactions.

Here, we compare the FFLO state induced by altermagnetism [44,45,46] with the conventional FFLO state driven by an external magnetic field [50,51,52,53,54,55,56]. Surprisingly, we discover that altermagnetism and the magnetic field actually compete with one another in promoting the spatially modulated superconducting FFLO phase. This competition gives rise to a homogeneous, spin-population-polarized Bardeen–Cooper–Schrieffer (BCS) phase, emerging from their combined influence. This newly identified polarized BCS phase represents a uniform ordered state, whereas the two FFLO phases—one arising from altermagnetism and the other from a magnetic field—constitute exotic ordered states characterized by broken spatial uniformity. Furthermore, recognizing that a disordered normal state inevitably appears under sufficiently strong altermagnetism or magnetic field, even at zero temperature, we identify the presence of two quantum Lifshitz points. Remarkably, these arise naturally without requiring fine-tuning of system parameters such as the mass imbalance or the specific form of the interaction potential.

The emergence of quantum Lifshitz points in altermagnetic metals offers a rare opportunity to deepen our understanding of the unusual universal critical exponents characteristic of the Lifshitz regime [3,4,5,6], where quantum fluctuations are expected to play a pivotal role [7]. At the mean-field level, we already distinguish the distinct nature of the two predicted quantum Lifshitz points, as the phase transition between the two ordered superconducting states exhibits different behaviors—one being a discontinuous first-order transition and the other a smooth second-order transition. We hypothesize that these quantum Lifshitz points may remain robust in the presence of quantum fluctuations, a question that calls for more comprehensive theoretical exploration. We also anticipate that future experiments will uncover the intriguing and anomalous quantum critical phenomena associated with these transitions.

2 Model Hamiltonian and the functional path-integral approach

2.1 Model

We consider a 2D spin-1/2 interacting Fermi system with d-wave altermagnetism in a unit area subjected to an external magnetic field h, as described by a Hamiltonian density (\(s_{\uparrow }=+1\) and \(s_{\downarrow }=-1\)),

\(\begin{aligned} \mathcal {H}=\sum \limits _{\sigma =\uparrow ,\downarrow }\psi _{\sigma }^{\dagger }\left[ \hat{\xi }_{\textbf{k}}+s_{\sigma }\left( \hat{J}_{\textbf{k}}+h \right) \right] \psi _{\sigma }^{\dagger }+U_{0}\psi _{\uparrow }^{\dagger }\psi _{\downarrow }^{\dagger }\psi _{\downarrow }\psi _{\uparrow }, \end{aligned}\)
(1)

where \(\psi _{\sigma }(\textbf{x})\) is the annihilation field operator for a fermion in the spin state \(\sigma\), \(\hat{J}_{\textbf{k}}=\lambda \hbar ^{2}\hat{k}_{x}\hat{k}_{y}/(2m)\) with \(\hat{k}_{x,y}\equiv -i\partial _{x,y}\) and the dimensionless coupling constant \(\lambda\) is the spin-splitting due to the d-wave altermagnetism [26, 45] and \(\hat{\xi }_{\textbf{k}}=-\hbar ^{2}\nabla ^{2}/(2m)-\mu\) is the conventional dispersion relation, with chemical potential \(\mu\) that fixes the average density n. For simplicity, we consider an s-wave attractive contact interaction, with its strength \(U_{0}=-\sum \nolimits _{\textbf{k}}1/[\hbar ^{2}k^{2}/m+\varepsilon _{B}]<0\) characterized by a two-body binding energy \(\varepsilon _{B}\) [57]. Hereafter, the wavevector k and energy (such as h and \(\varepsilon _{B}\)) are measured in units of the Fermi wavevector \(k_{F}=(2\pi n)^{1/2}\) and Fermi energy \(\varepsilon _{F}=\hbar ^{2}k_{F}^{2}/(2m)=k_{B}T_{F}\), respectively. Throughout the paper, we take a binding energy \(\varepsilon _{B}=0.08\varepsilon _{F}\).

It is important to emphasize that the one-band model Hamiltonian introduced in Eq. (1) provides a simplified representation of altermagnetic materials. In this framework, altermagnetism originates from a primary collinear antiferromagnetic Neel order associated with sublattice degrees of freedom [22, 32, 33]. The N el order itself can arise either from strong on-site Hubbard interactions [28] or from multiple spin–spin exchange couplings [31], while the distinct sublattices are related by symmetry operations described within spin-group theory [26, 32]. These nontrivial symmetry transformations fail to preserve the electronic spectrum, leading, at low energies, to momentum-dependent spin-splitting in the energy bands [22], as captured by our one-band model Eq. (1). The magnitude of this spin-splitting directly quantifies the strength of the altermagnetic order. A more realistic treatment of quantum Lifshitz physics, incorporating a two-band model of altermagnetism [47], will be explored in future work.

2.2 Pairing instability

At sufficiently low temperature, the attractive interaction drives the spin-1/2 Fermi system into a superconducting state. This pairing instability is mostly easily seen by introducing a pairing field \(\Delta (\textbf{x},\tau )\) through the standard Hubbbard-Stratonovich transformation, which couples to \(\psi _{\uparrow }^{\dagger }\psi _{\downarrow }^{\dagger }\) [57, 58]. By integrating out the fermionic field operators and truncating to fourth order in the pairing field \(\Delta (Q\equiv \{\textbf{q},i\omega _{m}\})\) in momentum space, where \(\omega _{m}\equiv 2m\pi k_{B}T\) with integer \(m=0,\pm 1,\cdots\) is the bosonic Matsubara frequency, we obtain [58],

\(\begin{aligned} \mathcal {S}_{\text {eff}}=\sum \limits _{Q}\frac{\bar{\Delta }_{Q}\Delta _{Q}}{-\Gamma \left( Q\right) }+\sum \limits _{Q_{1}Q_{2}Q_{3}}\frac{u_{1,2,3}}{2}\Delta _{1}\bar{\Delta }_{2}\Delta _{3}\bar{\Delta }_{1+2-3}. \end{aligned}\)
(2)

Here, \(\bar{\Delta }_{1+2-3}\) is an abbreviation of \(\bar{\Delta }(Q_{1}+Q_{2}-Q_{3})\) and the sum \(\sum \nolimits _{Q}\) stands for \(k_{B}T\sum \nolimits _{m}\int d\textbf{q}/(2\pi )^{2}\). The inverse vertex function \(\Gamma ^{-1}(Q)=U_{0}^{-1}+\chi _{\text {pair}}^{0}(Q)\) can be calculated by summing all the ladder diagrams for the pair propagator \(\chi _{\text {pair}}^{0}(Q)\) [58],

\(\begin{aligned} \Gamma ^{-1}\left( Q\right) =\frac{1}{U_{0}}+\sum \limits _{\textbf{k}}\frac{f\left( \xi _{\textbf{q}/2+\textbf{k}\uparrow }\right) +f\left( \xi _{\textbf{q}/2-\textbf{k}\downarrow }\right) -1}{i\omega _{m}-\left( \xi _{\textbf{q}/2+\textbf{k}\uparrow }+\xi _{\textbf{q}/2-\textbf{k}\downarrow }\right) }, \end{aligned}\)
(3)

where \(\xi _{\textbf{k}\uparrow }=\xi _{\textbf{k}}+J_{\textbf{k}}+h\) and \(\xi _{\textbf{k}\downarrow }=\xi _{\textbf{k}}-J_{\textbf{k}}-h\), and \(f(E)\equiv (e^{E/k_{B}T}+1)^{-1}\) is the Fermi-Dirac distribution function. The quartic term in Eq. (2) represents an effective repulsion between Cooper pairs at the lowest order [57, 58]. In this Born approximation, it suffices to suppress the momentum dependence of the coefficient \(u_{1,2,3}\) [57, 58]: \(u\equiv u(Q_{1}=0,Q_{2}=0,Q_{3}=0)=\sum \nolimits _{K}G_{0\uparrow }^{2}(K)G_{0\downarrow }^{2}(-K)>0\), where \(G_{0\sigma }(K)\) is the non-interacting Green function of fermions at the four-momentum \(K\equiv \{\textbf{k},i\omega _{n}\}\).

The superconducting instability is determined by the well-known thouless criterion (\(i\omega _{m}\rightarrow \omega +i0^{+}\)),

\(\begin{aligned} \underset{\{\textbf{q}\}}{\max }\Gamma ^{-1}(\textbf{q},\omega =0)\left| _{T=T_{c}}\right. =0, \end{aligned}\)
(4)

generalized here to allow a nonzero center-of-mass momentum \(\textbf{q}\ne 0\) of Cooper pairs, which signals a spatially inhomogeneous FFLO superconducting state [59]. In Fig. 1, we report the q-dependence of the inverse vertex function \(\Gamma ^{-1}(q=\mathbf {\left| q\right| },\omega =0)\), with varying altermagnetic coupling \(\lambda\) at the two magnetic fields, \(h=0\) (a) and \(h=0.3\varepsilon _{F}\) (b), and at essentially zero temperature \(T=0.01T_{F}\). At zero magnetic field in Fig. 1a, the maximum of \(\Gamma ^{-1}(q,\omega =0)\) always occurs at a finite momentum \(q_{\max }\ne 0\) and becomes non-negative once \(\lambda \le \lambda _{c}\simeq 0.85\), indicating the onset of an altermagnetism-induced FFLO state. This result aligns with previous mean-field calculations [44, 45], despite differences in the model Hamiltonians and interaction types employed. In stark contrast, at a finite magnetic field \(h=0.3\varepsilon _{F}\) as shown in Fig. 1b, the position of the maximum \(q_{\max }\) exhibits a non-monotonic dependence on increasing \(\lambda\). While the inverse vertex function reaches its maximum at a nonzero momentum \(q_{\max }\) for both relatively weak and strong altermagnetic couplings, it peaks precisely at zero momentum when \(\lambda =0.70\). This suggests that, at this intermediate coupling constant, the system favors a BCS-like superconducting state that is spatially uniform.

Fig. 1
figure 1

The pairing momentum q-dependence of the inverse vertex function at zero frequency \(\Gamma ^{-1}(q,\omega =0)\), in units of \(2m/\hbar ^{2}\), at different altermagnetic couplings \(\lambda\) as indicated, and at the magnetic field \(h=0\) (a) and \(h=0.3\varepsilon _{F}\) (b). We have taken a negligible temperature \(T=0.01T_{F}\) to smooth the sharp Fermi surface and to increase numerical accuracy


3 Results and discussions

3.1 Quantum Lifshitz points

To understand this non-monotonic behavior, it is instructive to Taylor-expand the inverse vertex function, keeping the leading orders in powers of q and \(\omega\), i.e., \(-\Gamma ^{-1}(q,\omega )=r+Zq^{2}+Dq^{4}-\gamma \omega\), where the expansion coefficients \(\{Z,D>0,\gamma \}\) as well as \(r=-\Gamma ^{-1}(0,0)\) are functions of the altermagnetic coupling \(\lambda\) and magnetic field h. Therefore, we may directly write down a Ginzburg-Landau (GL) Lagrangian at the low-energy from \(\mathcal {S}_{\text {eff}}\) in Eq. (2),

\(\begin{aligned} \mathcal {L}=\gamma \bar{\Delta }\partial _{\tau }\Delta +Z\left| \partial _{\textbf{x}}\Delta \right| ^{2}+D\left| \partial _{\textbf{x}}^{2}\Delta \right| ^{2}+r\left| \Delta \right| ^{2}+\frac{u}{2}\left| \Delta \right| ^{4}. \end{aligned}\)
(5)

Physically, the expansion coefficient \(Z(\lambda ,h)\) presents the (inverse) mass of Cooper pairs. A superconducting transition takes place when the global minimum of the action \(\mathcal {S}_{\text {GL}}=\int d\textbf{x}d\tau \mathcal {L}[\Delta (\textbf{x},\tau )]\) is located at a nonzero pairing field \(\left\langle \Delta (\textbf{x},\tau )\right\rangle \ne 0\), which describes a condensate of pairs. When \(Z(\lambda ,h)\) is negative, Cooper pairs of the lowest energy would have a finite momentum \(q_{0}=\sqrt{-Z/(2D)}\), in order to minimize the combined gradient (kinetic energy) term, \(Zq^{2}+Dq^{4}\) [7]. As a result, the parameter r effectively renormalizes to \(\bar{r}=r-Z^{2}/(4D)\) and a second-order transition occurs at a critical altermagnetic coupling \(\lambda _{c}\) determined by \(\bar{r}(h,\lambda _{c})=0\) for a fixed magnetic field h. This mechanism underlies the onset of the altermagnetism-induced FFLO state illustrated in Fig. 1a. Conversely, when \(Z(\lambda ,h)\) is positive, the pairs have the lowest energy at zero momentum \(q_{0}=0\). In this case, a uniform superconducting state emerges as the pairing field \(\Delta\) becomes constant, with the transition occurring at \(r(h,\lambda _{c})=0\). This behavior corresponds to the BCS-like state observed at \(\lambda =0.70\) in Fig. 1b. However, an interesting question arises: why does a nonzero \(q_{\max }\) appear when \(\lambda\) is increased or decreased from 0.70, suggesting negative Z? A simple explanation is that the coefficient \(Z(h,\lambda )\) may change sign as a function of \(\lambda\), thereby altering the momentum structure of the lowest-energy Cooper pairs.

This leads to an intriguing possibility: by appropriately tuning h and \(\lambda\), both coefficients \(r(h,\lambda )\) and \(Z(h,\lambda )\) might simultaneously vanish at certain tri-critical Lifshitz points (\(h_{\text {LP}}\), \(\lambda _{\text {LP}}\)), at which two ordered phases (i.e., the FFLO state and BCS-like state) merge with a disordered, normal phase. To confirm such an anticipation, we present contour plots in Fig. 2a, b, which show the maximum of the inverse vertex function \(\Gamma ^{-1}(q_{\max },\omega =0)\) and the corresponding pair momentum \(q_{\max }\) in the \(\lambda\)-h plane, respectively. In the context of our low-energy GL theory, the former serves as a proxy for the coefficient \(-r\) (or \(-\bar{r}\)), while the latter can be interpreted as \(q_{0}\). Remarkably, Fig. 2b reveals a dark stripe, indicating a region where the pairing momentum is strictly zero. Figure 2c outlines the boundaries of this stripe using two dot-dashed lines and includes an instability line determined by the Thouless criterion. These dot-dashed lines and the instability line correspond to the conditions \(Z=0\) and \(r=0\) (or \(\bar{r}=0\)), respectively. Their intersections mark the anticipated tri-critical Lifshitz points. In Fig. 3, we highlight the two resulting Lifshitz points with orange and purple dots.

Fig. 2
figure 2

a The maximum of the inverse vertex function \(\Gamma ^{-1}(q_{\max },\omega =0)\), as functions of the altermagnetic coupling \(\lambda\) and magnetic field \(h/\varepsilon _{F}\). b The corresponding pairing momentum \(q_{\max }\). c The instability line determined by the thouless criterion \(\Gamma ^{-1}=0\) separates the superconducting phase (SC) from the normal state. The color of the line shows the pairing momentum. The pairing momentum is identically zero between the two dot-dashed lines


Fig. 3
figure 3

a The phase diagram determined by the mean-field calculations, which further reveal the existence of the standard BCS phase, a polarized BCS phase and two FFLO states inside the superconducting phase. This leads to two quantum Lifshitz points, as highlighted by the orange and purple dots, respectively. b and c A sketch of phase diagrams near the quantum Lifshitz points, constructed by using the phenomenological parameters Z and r following the effective action. The solid lines and dashed lines in the phase diagrams correspond to the second-order and first-order phase transitions


It is worth noting that the two predicted Lifshitz points are quantum critical points [1], as our analysis is conducted at essentially zero temperature. In contrast, most previous studies focus on classical Lifshitz points, where tuning the temperature is typically required to drive the Cooper-pair mass Z to zero or negative values (\(Z\le 0\)) [12]. In such cases, the transition to an ordered phase is governed by thermal fluctuations. Even when a quantum Lifshitz point emerges accidentally at zero temperature, the two ordered phases are generally separated by a finite-temperature quantum critical regime [14]. In our case, however, the predicted quantum Lifshitz points are driven purely by quantum fluctuations, and the two superconducting ordered states are directly connected in the phase diagram. This makes the altermagnetic metal a particular promising platform for probing the rich quantum nature of Lifshitz points. For instance, the dynamic critical exponent \(z=4\) becomes large precisely at the quantum Lifshitz point, rendering the associated critical exponents very unusual. A detailed analysis of these critical exponents, within the framework of the Hertz-Millis theory [60, 61] will be presented in future work.

3.2 Two types of quantum Lifshitz points

Thus far, our analysis has been limited to the normal state, as we assumed the smallness of the pairing field in deriving the effective action \(\mathcal {S}_{\text {eff}}\) in Eq. (2). To explore the superconducting phases, we have also applied the mean-field theory to calculate the nonzero order parameter \(\Delta (\textbf{x})\), as detailed elsewhere [48]. The resulting phase diagram is presented in Fig. 3a, which clearly distinguishes between different FFLO states induced by either the external magnetic field or the intrinsic altermagnetism. These two mechanisms of FFLO formation compete, ultimately giving rise to the dark stripe of zero pairing momentum identified in Fig. 2c. Interestingly, beyond the superfluid transition, the BCS-like superconducting phase manifests as a novel polarized BCS state characterized by an imbalance in spin population [48].

The two predicted quantum Lifshitz points are distinct, as the nature of the phase transitions between the polarized BCS state and the two FFLO states differs significantly. For the field-induced FFLO state (i.e., FFLO\(_{\text {h}}\)), the transition to the polarized BCS state is first-order. In contrast, the transition from the altermagnetism-driven FFLO state (i.e., FFLO\(_{\lambda }\)) to the polarized BCS state is continuous. We tentatively attribute the discontinuous transition near the magnetic-field-induced quantum Lifshitz point (indicated by the orange dot) to the sign change in the quartic coefficient u, as well as the influence of high-order terms in \(\left| \Delta \right| ^{2}\) in the GL Lagrangian when extended to the superfluid phase.

3.3 Thermal effect on the Lifshitz points

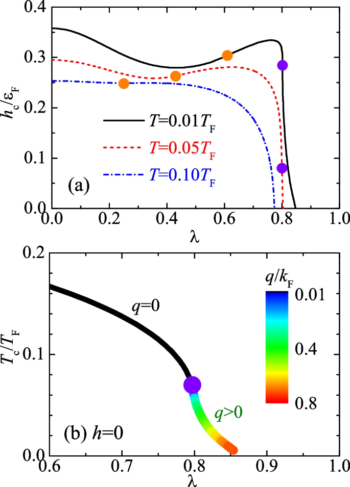
Finally, we briefly discuss the impact of thermal fluctuations on the Lifshitz points, as illustrated in Fig. 4. As the temperature increases, the Lifshitz point induced by the magnetic field (or by altermagnetism) shifts toward regions of weaker altermagnetic coupling (or lower magnetic field). Notably, the altermagnetism-driven Lifshitz point is more fragile to temperature changes, and disappears entirely when temperature exceeds approximately \(0.07T_{F}\) (for the binding energy \(\varepsilon _{B}=0.08\varepsilon _{F}\) considered in this work), as shown in Fig. 4b.

Fig. 4
figure 4

a The instability lines at three temperatures \(T/T_{F}=0.01\), 0.05, and 0.10, with the Lifshitz points highlighted by dots. b The critical temperature \(T_{c}\) as a function of the altermagnetic coupling \(\lambda\) at zero magnetic field \(h=0\). The color of the line shows the pairing momentum at the phase transition. The purple dot indicates the zero-field Lifshitz point at \(\lambda \simeq 0.8\) and at \(T\simeq 0.07T_{F}\)


4 Conclusions

In summary, we propose that an altermagnetic superconductor provides an ideal platform for realizing the long-sought quantum Lifshitz points. The essential factor enabling this quantumness is the additional tunability offered either by an external magnetic field or by the intrinsic altermagnetic coupling - each capable of driving the Lifshitz transition down to absolute zero temperature. Among these, the altermagnetic coupling plays the most crucial role, as it naturally induces a homogeneous polarized BCS superconducting state with discrete nodal points in momentum space [48]. Near the altermagnetism-driven quantum Lifshitz point, these discrete nodal points become energetically favorable, thereby facilitating smooth phase transitions. In contrast, near the field-driven quantum Lifshitz point, the dominant magnetic field exerts a stronger disruptive effect on the superconducting state, leading to a first transition between the FFLO and polarized BCS states. In this respect, the characteristics of the field-driven quantum Lifshitz point resemble those of quantum Lifshitz points proposed to occur by tuning parameters such as mass ratio or dimensionality [20].

We finally discuss the experimental prospects for realizing the predicted quantum Lifshitz points. Till now, altermagnetic superconductors have not yet been observed. Promising candidates may include the recently discovered altermagnetic metals such as KV\(_{2}\)Se\(_{2}\)O [62] and Rb\(_{1-\delta }\)V\(_{2}\)Te\(_{2}\)O [63]. As discussed in several theoretical studies [31, 36, 64], superconducting pairing might be mediated by mechanisms such as double-magnon processes [65]. Alternatively, superconductivity may emerge in altermagnetic materials with strong electron-phonon coupling, leading naturally to a phonon-mediated s-wave attractive interaction. In systems with pronounced spin fluctuations [66] and substantial on-site electron-electron repulsion, d-wave superconductivity could instead be favored. An altermagnetic superfluid phase might also be achievable in ultracold-atom experiments [28]. For instance, loading a spin-1/2 Fermi gas into a suitably engineered two-dimensional optical lattice can give rise to d-wave altermagnetism driven by on-site Hubbard repulsion. Furthermore, an effective magnetic field can be introduced by adjusting the population imbalance between the two spin states, while a short-range attractive interaction between fermions may be induced by doping the system with bosonic atoms [67].

Once realized, our proposed mechanism for generating quantum Lifshitz points in altermagnetic superconductors or superfluids is both robust and universal - remaining insensitive to the specific nature of the altermagnetism or to the partial-wave character of the pairing interaction driving superconductivity [68]. Furthermore, phase transitions across these quantum Lifshitz points could be detected by measuring the center-of-mass momentum of Cooper pairs. In ultracold-atom experiments, such measurements could be performed using momentum-resolved radio-frequency spectroscopy [69].

Data availability

The data generated during the current study are available from the contributing author upon reasonable request.

References

  1. S. Sachdev, Quantum Phase Transitions (Cambridge University Press, Cambridge, 1999)

  2. S. Sachdev, Quantum Phases of Matter (Cambridge University Press, New York, 2023)

  3. R. M. Hornreich M. Luban, S. Shtrikman, Critical Behavior at the Onset of \(\mathbf{\overrightarrow{k}}\)-Space Instability on the \(\lambda\) Line, Phys. Rev. Lett. 35, 1678 (1975)

  4. J. Sak, G.S. Grest, Critical exponents for the Lifshitz point: \(\varepsilon\)-expansion. Phys. Rev. B 17, 3602 (1978)

  5. C. Mergulhão Jr., C.E.I. Carneiro, Field-theoretic calculation of critical exponents for the Lifshitz point. Phys. Rev. B 59, 13954 (1999)

  6. H.W. Diehl, M. Shpot, Critical behavior at \(m\)-axial Lifshitz points: Field-theory analysis and \(\varepsilon\)-expansion results. Phys. Rev. B 62, 12338 (2000)

  7. R.D. Pisarski, V.V. Skokov, A.M. Tsvelik, A pedagogical introduction to the Lifshitz regime. Universe 5, 48 (2019)

  8. R.P. Madhogaria, C.-M. Hung, B. Muchharla, A.T. Duong, R. Das, P.T. Huy, S. Cho, S. Witanachchi, H. Srikanth, M.-H. Phan, Strain-modulated helimagnetism and emergent magnetic phase diagrams in highly crystalline MnP nanorod films. Phys. Rev. B 103, 184423 (2021)

  9. G.H. Fredrickson, F.S. Bates, Design of Bicontinuous Polymeric Microemulsions. J. Polym. Sci. 35, 2775 (1997)

  10. B.H. Jones, T.P. Lodge, Nanocasting nanoporous inorganic and organic materials from polymeric bicontinuous microemulsion templates. Polym. J. 44, 131 (2012)

  11. I. Muševič, B. Žekš, R. Blinc Th. Rasing, P. Wyder, Phase Diagram of a Ferroelectric Chiral Smectic Liquid Crystal near the Lifshitz Point. Phys. Rev. Lett. 48, 192 (1982)

  12. K.B. Gubbels, J.E. Baarsma, H.T.C. Stoof, Lifshitz Point in the Phase Diagram of Resonantly Interacting 6Li-40K Mixtures. Phys. Rev. Lett. 103, 195301 (2009)

  13. R. Casalbuoni, G. Nardulli, Inhomogeneous superconductivity in condensed matter and QCD. Rev. Mod. Phys. 76, 263 (2004)

  14. R. Ramazashvili, Quantum Lifshitz point. Phys. Rev. B 60, 7314 (1999)

  15. F. Günther, G. Seibold, J. Lorenzana, Quantum Lifshitz Point in the Infinite-Dimensional Hubbard Model. Phys. Rev. Lett. 98, 176404 (2007)

  16. L. Balents, O.A. Starykh, Quantum Lifshitz Field Theory of a Frustrated Ferromagnet. Phys. Rev. Lett. 116, 177201 (2016)

  17. J. Wårdh, B.M. Andersen, M. Granath, Suppression of superfluid stiffness near a Lifshitz-point instability to finite-momentum superconductivity. Phys. Rev. B 98, 224501 (2018)

  18. B. Zhao, J. Takahashi, A.W. Sandvik, Multicritical Deconfined Quantum Criticality and Lifshitz Point of a Helical Valence-Bond Phase. Phys. Rev. Lett. 125, 257204 (2020)

  19. Y.A. Kharkov, J. Oitmaa, O.P. Sushkov, Quantum Lifshitz criticality in a frustrated two-dimensional XY model. Phys. Rev. B 101, 035114 (2020)

  20. P. Zdybel, P. Jakubczyk, Quantum Lifshitz points and fluctuation-induced first-order phase transitions in imbalanced Fermi mixtures. Phys. Rev. Res. 2, 033486 (2020)

  21. M. Naka, S. Hayami, H. Kusunose, Y. Yanagi, Y. Motome, H. Seo, Spin current generation in organic antiferromagnets. Nat. Commun. 10, 4305 (2019)

  22. S. Hayami, Y. Yanagi, H. Kusunose, Momentum-Dependent Spin Splitting by Collinear Antiferromagnetic Ordering. J. Phys. Soc. Jpn. 88, 123702 (2019)

  23. S. Hayami, Y. Yanagi, H. Kusunose, Bottom-up design of spin-split and reshaped electronic band structures in antiferromagnets without spin-orbit coupling: Procedure on the basis of augmented multipoles. Phys. Rev. B 102, 144441 (2020)

  24. L. Šmejkal, R. González-Hernández, T. Jungwirth, J. Sinova, Crystal time-reversal symmetry breaking and spontaneous Hall effect in collinear antiferromagnets. Sci. Adv. 6, eaaz8809 (2020)

  25. I. I. Mazin, K. Koepernik, M. D. Johannes, R. González-Hernández, L. Šmejkal, Preduction of unconventional magnetism in doped FeSb\(_{2}\). Proc. Natl. Acad. Sci. U.S.A. 118, e2108924118 (2021)

  26. L. Šmejkal, J. Sinova, T. Jungwirth, Emerging Research Landscape of Altermagnetism. Phys. Rev. X 12, 040501 (2022)

  27. I.I. Mazin, Altermagnetism in MnTe: Origin, predicted manifestations, and routes to detwinning. Phys. Rev. B 107, L100418 (2023)

  28. P. Das, V. Leeb, J. Knolle, M. Knap, Realizing Altermagnetism in Fermi-Hubbard Models with Ultracold Atoms. Phys. Rev. Lett. 132, 263402 (2024)

  29. M. Hiraishi, H. Okabe, A. Koda, R. Kadono, T. Muroi, D. Hirai, Z. Hiroi, Nonmagnetic ground state in RuO2 revealed by muon spin rotation. Phys. Rev. Lett. 132, 166702 (2024)

  30. O. J. Amin, A. Dal Din, E. Golias, Y. Niu, A. Zakharov, S. C. Fromage, C. J. B. Fields, S. L. Heywood, R. B. Cousins, F. Maccherozzi, J. Krempask , J. H. Dil, D. Kriegner, B. Kiraly, R. P. Campion, A. W. Rushforth, K. W. Edmonds, S. S. Dhesi, L. mejkal, T. Jungwirth, and P. Wadley, Nanoscale imaging and control of altermagnetism in MnTe. Nature 636, 348 (2024)

  31. A. Bose, S. Vadnais, A. Paramekanti, Altermagnetism and superconductivity in a multiorbital t-J model. Phys. Rev. B 110, 205120 (2024)

  32. Z. Liu, H. Hu, X.-J. Liu, Altermagnetism and superconductivity: A short historical review. (2025). arXiv:2510.09170

  33. P.A. McClarty, J.G. Rau, Landau Theory of Altermagnetism. Phys. Rev. Lett. 132, 176702 (2024)

  34. S.A.A. Ghorashi, T.L. Hughes, J. Cano, Altermagnetic Routes to Majorana Modes in Zero Net Magnetization. Phys. Rev. Lett. 133, 106601 (2024)

  35. B. Lu, K. Maeda, H. Ito, K. Yada, Y. Tanaka, \(\varphi\) Josephson Junction Induced by Altermagnetism. Phys. Rev. Lett. 133, 226002 (2024)

  36. K. Maeda, B. Lu, K. Yada, Y. Tanaka, Theory of Tunneling Spectroscopy in Unconventional p-Wave Magnet-Superconductor Hybrid Structures. J. Phys. Soc. Jpn. 93, 114703 (2024)

  37. Y. Fukaya, K. Maeda, K. Yada, J. Cayao, Y. Tanaka, B. Lu, Josephson effect and odd-frequency pairing in superconducting junctions with unconventional magnets. Phys. Rev. B 111, 064502 (2025)

  38. Y. Fukaya, B. Lu, K. Yada, Y. Tanaka, J. Cayao, Superconducting phenomena in systems with unconventional magnets. J. Phys. Condens. Matter 37, 313003 (2025)

  39. H.-J. Lin, S.-B. Zhang, H.-Z. Lu, X.C. Xie, Coulomb Drag in Altermagnets. Phys. Rev. Lett. 134, 136301 (2025)

  40. I.I. Mazin, Notes on altermagnetism and superconductivity. AAPPS Bull. 35, 8 (2025)

  41. R. Soto-Garrido, E. Fradkin, Pair-density-wave superconducting states and electronic liquid-crystal phases. Phys. Rev. B 89, 165126 (2014)

  42. S. Sumita, M. Naka, H. Seo, Fulde-Ferrell-Larkin-Ovchinnikov state induced by antiferromagnetic order in \(\kappa\)-type organic conductors. Phys. Rev. Res. 5, 043171 (2023)

  43. S.-B. Zhang, L.-H. Hu, T. Neupert, Finite-momentum Cooper pairing in proximitized altermagnets. Nat. Commun. 15, 1801 (2024)

  44. D. Chakraborty, A.M. Black-Schaffer, Zero-field finite-momentum and field-induced superconductivity in altermagnets. Phys. Rev. B 110, L060508 (2024) 

  45. S. Hong, M.J. Park, K.-M. Kim, Unconventional p-wave and finite-momentum superconductivity induced by altermagnetism through the formation of Bogoliubov Fermi surface. Phys. Rev. B 111, 054501 (2025)

  46. G. Sim, J. Knolle, Pair Density Waves and Supercurrent Diode Effect in Altermagnets. Phys. Rev. B 112, L020502 (2025)

  47. S. Sumita, M. Naka, H. Seo, Phase-modulated superconductivity via altermagnetism. Phys. Rev. B 112, 144510 (2025)

  48. H. Hu, Z. Liu, X.-J. Liu, Unconventional superconductivity of an altermagnetic metal: Polarized BCS and inhomogeneous FFLO states. Phys. Rev. B 112, 184501 (2025)

  49. Z. Liu, H. Hu, X.-J. Liu, Fulde-Ferrell-Larkin-Ovchinnikov states and topological Bogoliubov Fermi surfaces in altermagnets: an analytical study. (2025). arXiv:2508.07813

  50. P. Fulde, R.A. Ferrell, Superconductivity in a Strong Spin-Exchange Field. Phys. Rev. 135, A550 (1964)

  51. A. I. Larkin, Yu. N. Ovchinnikov, Nonuniform state of superconductors. Zh. Eksp. Teor. Fiz. 47, 1136 (1964) [Sov. Phys. JETP 20, 762 (1965)]

  52. Y. Ohashi, On the Fulde-Ferrell State in Spatially Isotropic Superconductors. J. Phys. Soc. Jpn. 71, 2625 (2002)

  53. S. Uji, T. Terashima, M. Nishimura, Y. Takahide, T. Konoike, K. Enomoto, H. Cui, H. Kobayashi, A. Kobayashi, H. Tanaka, M. Tokumoto, E.S. Choi, T. Tokumoto, D. Graf, J.S. Brooks, Vortex Dynamics and the Fulde-Ferrell-Larkin-Ovchinnikov State in a Magnetic-Field-Induced Organic Superconductor. Phys. Rev. Lett. 97, 157001 (2006)

  54. H. Hu, X.-J. Liu, Mean-field phase diagrams of imbalanced Fermi gases near a Feshbach resonance. Phys. Rev. A 73, 051603(R) (2006)

  55. H. Hu, X.-J. Liu, P.D. Drummond, Phase Diagram of a Strongly Interacting Polarized Fermi Gas in One Dimension. Phys. Rev. Lett. 98, 070403 (2007)

  56. D.E. Sheehy, Fulde-Ferrell-Larkin-Ovchinnikov state of two-dimensional imbalanced Fermi gases. Phys. Rev. A 92, 053631 (2015)

  57. L. He, H. Lü, G. Cao, H. Hu, X.-J. Liu, Quantum fluctuations in the BCS-BEC crossover of two-dimensional Fermi gases. Phys. Rev. A 92, 023620 (2015)

  58. C.A.R.S. de Melo, M. Randeria, J.R. Engelbrecht, Crossover from BCS to Bose superconductivity: Transition temperature and time-dependent Ginzburg-Landau theory. Phys. Rev. Lett. 71, 3202 (1993)

  59. X.-J. Liu, H. Hu, BCS-BEC crossover in an asymmetric two-component Fermi gas. Europhys. Lett. 75, 364 (2006)

  60. J.A. Hertz, Quantum critical phenomena. Phys. Rev. B 14, 1176 (1976)

  61. A.J. Millis, Effect of a nonzero temperature on quantum critical points in itinerant fermion systems. Phys. Rev. B 48, 7183 (1993)

  62. B. Jiang, M. Hu, J. Bai, Z. Song, C. Mu, G. Qu, W. Li, W. Zhu, H. Pi, Z. Wei, Y. Sun, Y. Huang, X. Zheng, Y. Peng, L. He, S. Li, J. Luo, Z. Li, G. Chen, H. Li, H. Weng, T. Qian, A metallic room-temperature d-wave altermagnet. Nat. Phys. 21, 754 (2025)

  63. F. Zhang, X. Cheng, Z. Yin, C. Liu, L. Deng, Y. Qiao, Z. Shi, S. Zhang, J. Lin, Z. Liu, M. Ye, Y. Huang, X. Meng, C. Zhang, T. Okuda, K. Shimada, S. Cui, Y. Zhao, G.-H. Cao, S. Qiao, J. Liu, C. Chen, Crystal-symmetry-paired spin-valley locking in a layered room-temperature metallic altermagnet candidate. Nat. Phys. 21, 760 (2025)

  64. B. Brekke, A. Brataas, A. Sudbø, Two-dimensional altermagnets: superconductivity in a minimal microscopic model. Phys. Rev. B 108, 224421 (2023)

  65. A. Mæland, B. Brekke, A. Sudbø, Many-body effects on superconductivity mediated by double-magnon processes in altermagnets. Phys. Rev. B 109, 134515 (2024)

  66. D.J. Scalapino, E. Loh Jr., J.E. Hirsch, d-wave pairing near a spin-density-wave instability. Phys. Rev. B 34, 8190(R) (1986)

  67. B.J. DeSalvo, K. Patel, G. Cai, C. Chin, Observation of fermion-mediated interactions between bosonic atoms. Nature (London) 568, 61 (2019)

  68. We have investigated the presence of quantum Lifshitz points in systems with \(d_{xy}\)-wave and \(d_{x^{2}-y^{2}}\)-wave altermagnetism, considering both \(s\)-wave and \(d\)-wave attractive interactions. These findings indicate that the spin-splitting in the dispersion relation induced by altermagnetism plays the dominant role

  69. X.-J. Liu, H. Hu, Inhomogeneous Fulde-Ferrell superfluidity in spin-orbit-coupled atomic Fermi gases. Phys. Rev. A 87, 051608(R) (2013)

Acknowledgements

See funding support.

Funding

This research was supported by the Australian Research Council’s (ARC) Discovery Program, Grants Nos. DP240101590 (H.H.) and DP240100248 (X.-J.L.).

Author information

Authors and Affiliations

Contributions

All the authors equally contributed to all aspects of the manuscript. All the authors read and approved the final manuscript.

Corresponding author

Correspondence to Hui Hu.

Ethics declarations

Ethics approval and consent to participate

Not applicable.

Consent for publication

Not applicable.

Competing interests

The authors declare that they have no competing interests.

Additional information

Publisher’s Note

Springer Nature remains neutral with regard to jurisdictional claims in published maps and institutional affiliations.

[Source: https://link.springer.com/article/10.1007/s43673-025-00178-2]